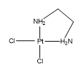
Phức chất cis-dichloro(ethylendiamine) platinium (II) có công thức cấu tạo sau:

Số lượng phối tử có trong phức chất trên là
1.
3.
2.
4.
Phương pháp giải
Phân tích công thức cấu tạo của phức chất.
Lời giải chi tiết
Trong phức chất này, Pt là ion trung tâm và các phối tử bao quanh bao gồm:
Vì vậy, có 3 phối tử xung quanh Pt bao gồm 2 Cl và 1 ethylendiamine.
Đáp án đúng là B. 3.