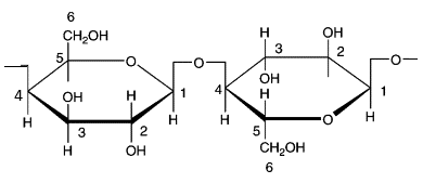
Cellulose là polymer thiên nhiên, có công thức phân tử $\left( {C_{6}H_{10}O_{5}} \right)_{n}$, được cấu tạo như sau:
Cellulose được sử dụng làm vật liệu xây dựng (các loại đồ gỗ), sản xuất giấy, sợi tự nhiên và sợi nhân tạo. Cellulose cũng được sử dụng làm nguyên liệu để điều chế ethanol và cellulose trinitrate (dùng để chế tạo thuốc súng không khói).

Phương pháp giải
Dựa vào lý thuyết về tính chất hóa học của cellulose.
Viết sơ đồ phản ứng, tính toán theo PTHH.
Lời giải chi tiết
1) Đúng, công thức của cellulose là $\left\lbrack {C_{6}H_{7}O_{2}\left( {OH} \right)_{3}} \right\rbrack_{n}$
2) Sai, vì cellulose cấu tạo từ nhiều đơn vị β-glucose qua liên kết β-1,4-glycoside.
3) Đúng, vì $\left. {(\text{C}_{6}\text{H}_{10}\text{O}_{5})}_{\text{n}}\rightarrow\text{nC}_{6}\text{H}_{12}\text{O}_{6}\rightarrow 2\text{nC}_{2}\text{H}_{5}\text{OH} \right.$.
4) Sai, vì $m_{cellulose} = m_{go}.60\% = 1000.60\% = 600\left( {kg} \right)$
Mà hiệu suất phản ứng $H = 90\%$ nên $m_{cellulose\ pu}\text{=}90\%.\ m_{cellulose} = 90\%.600 = 540\left( {kg} \right)$
$\left. \Rightarrow\text{n}_{\text{cellulosepu}} = \dfrac{540}{162\text{n}}(\text{kmol}) \right.$
Theo PTHH: $\text{n}_{\text{HNO}_{3}} = 3\text{n}.\text{n}_{\text{cellulosepu}} = 3\text{n}.\dfrac{540}{162\text{n}} = 10(\text{kmol})$
$\left. \Rightarrow\text{m}_{\text{HNO}_{3}} = 10.63 = 630(\text{kg}) \right.$
$\text{C\%}_{\text{HNO}_{3}} = \dfrac{\text{m}_{\text{HNO}_{3}}}{\text{m}_{\text{dungdich}}}.100\%$
$\left. \Rightarrow\text{m}_{\text{dungdich}} = \dfrac{\text{m}_{\text{HNO}_{3}}}{\text{C\%}_{\text{HNO}_{3}}}.100\% = \dfrac{630}{63\%}.100\% = 1000(\text{kg}) \right.$
$\text{V}_{\text{ddHNO}_{3}} = \dfrac{\text{m}_{\text{ddHNO}_{3}}}{\text{D}} = \dfrac{1000}{1,4} = 714,286(\text{L})$
Ta có: $a = \dfrac{540.297}{162} = 990kg$
Vậy a + V = 1704